晶振官方博客
更多>>晶振歷史
來源:http://m.jahson.com.cn 作者:konuaer 2012年05月25
晶振歷史
壓電石英晶體被人類發現并且成功開發之后,被應用到很多電子元器件之中,壓電石英晶體在經過科技加工之后可以生產出,石英晶振,石英晶片,音叉晶體,聲表面濾波器,聲表面諧振器,傳感器等元器件。壓電效應是由雅克,居里與皮埃爾•居里於1880年發現。 保羅•朗之萬在第一次世界大戰期間首先探討了石英諧振器在聲納上的應用。 第一個由晶體控制的電子式振盪器,則是在1917年使用羅謝爾鹽所作成,並於1918年由貝爾電話實驗室的Alexander M. Nicholson取得專利[1],雖然與同時申請專利的 Walter Guyton Cady 曾有過爭議[2]。 Cady 於1921年製作了第一個石英晶體振盪器[3]。 對於石英晶體振
盪器的其他早期創新有貢獻的還有皮爾斯(G. W. Pierce)與 Louis Essen。
.JPG)
石英晶振的振盪模式
工作原理
晶振是指其中的原子、分子、或離子以規則、重複的模式朝各方向延伸的一種固體。
晶振與幾乎所有的彈性物質都具有自然共振頻率,透過適當的傳感器可加以利用。例如鋼鐵具有良好彈性、音速快,在石英晶振大量應用以前,鋼鐵被用作機械式濾波器(Mechanical filter)。 共振頻率取決於晶振的尺寸、形狀、彈性、與物質內的音速。 高頻用的晶振通常是切成簡單的形狀,如方形片狀。 典型的低頻用晶振則常切成音叉形,例如手錶用的那種。 如不需要太高的精確度,則也可以使用陶瓷晶振(Ceramic Resonator)取代石英晶振。
運用石英晶振上的電極對一顆被適當切割並安置的石英晶體施以電場時,晶體會產生變形。這就是壓電效應。當外加電場移除時,石英晶體會恢復原狀並發出電場,因而在電極上產生電壓。這樣的特性造成石英晶體在電路中的行為,類似於某種電感器、電容器、與電阻器所組合成的RLC電路。組合中的電感電容諧振頻率則反映了石英晶體
的實體共振頻率。
石英晶體的優點是在溫度變化時,影響震盪頻率的彈性係數與尺寸變化輕微,因而在頻率特性上表現穩定。共振的特性還取決於振動模式與石英的切割角度(相對於晶軸而言),目前常用的是 AT 切割,它的振盪是厚度剪切(thickness shear)振盪模式。 此外,在需要高精密度與穩定性的嚴格場合,石英晶體會放置於恆溫箱(Crystal oven)與吸振容器內,以防止外部溫度與震動的干擾。
.JPG)
石英晶體的電路符號與等效電路
分析模型
電氣模型
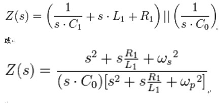
在電氣網路中,石英晶體可以轉換成一組 RLC 等效電路,以利分析。 這一電路模型有兩個頻率接近但特性不同的共振點:低阻抗的串聯共振點與高阻抗的並聯共振點。 運用拉普拉斯轉換,該等效電路網路的阻抗可以寫成以下數學式:

.JPG)
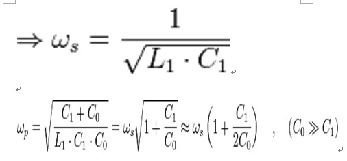
其中 s 是複數頻率 4 , 是串聯共振頻率, 是並聯共振頻率,以上頻率單位都是弧/每秒。
在晶體兩端並聯上額外的並聯電容器會使並聯後的整體共振頻率降低,因此,石英晶體廠商在製作並測量石英晶體的並聯共振頻率時,會在特定的並聯電容值(稱為負載電容)下進行測試。如使用較小的電容值,振盪頻率會比規格高,反之比規格低。這一特性也可以用來微調振盪頻率。
共振模式
石英晶體提供了兩種共振模式,由 C1 與 L1 構成的串聯共振,與由 C0、C1 與 L1 構成的並聯共振。
對於一般的 MHz 級石英晶體而言,串聯共振頻率一般會比並聯共振頻率低若干 KHz。 頻率在 30 MHz 以下的石英晶體,通常工作時的頻率處於串聯共振頻率與並聯共振頻率之間,此時石英晶體呈現電感性阻抗。因為,外部電路上的電容會把電路的振盪頻率拉低一些。在設計石英晶振振盪電路時,也應令電路上的雜散電容與外加電容合計値與晶體廠商使用的負載電容值相同,振盪頻率才會準確符合廠商的規格。
頻率在 30 MHz 以上(到 200 MHz)的石英晶體,通常工作於串聯共振模式,工作時的阻抗處於最低點,相當於 Rs 。 此種晶體通常標示串聯電阻( < 100 Ω )而非並聯負載電容。 為了達到高的振盪頻率,石英晶體會振盪在它的一個諧波頻率上,此諧波頻率是基頻的整數倍。 只使用奇數次諧波,例如 3 倍、 5 倍、與 7 倍的泛音晶體。 要達到所要的振盪頻率,振盪電路上會加入額外的電容器與
電感器,以選擇出所需的頻率。
.JPG)
音叉晶體,表晶系列
溫度效應
石英晶體的頻率特性取決於形狀或切割方式。音叉型晶體通常會切割成溫度特性是以25℃為中心的拋物線。這意味著,音叉晶體振盪器在室溫下產生的共振頻率接近其目標頻率,當溫度或增加或減少時頻率都會降低。頻率-溫度曲線為拋物線的常見32.768千赫音叉晶體的溫度係數是 負百萬分之0.04/℃²。
.JPG)
也就是說,如不考慮製作誤差,以這種石英晶體控制頻率的時鐘,如運作在比室溫低10°C的環境下,每年會比運作在室溫下慢2分鐘;如運作在比室溫低攝氏20°C的環境下,則每年會比運作在室溫下慢8分鐘。
石英振盪元件的類別、稱呼、代號與速寫
.JPG)
石英晶體或其他壓電晶體諧振器的電路符號
.JPG)
各式石英晶體外觀,最右側一個是石英晶體振盪器模組
內含石英諧振晶體的電子元件可分兩大類:
石英晶體(crystal 或 Xtal)是石英晶片加上電極與外殼封裝。也稱或石英振盪子或石英晶體諧振器 (crystal resonator)。 這是單純石英晶體被動元件,不含主動元件,需搭配外加電路才會產生振盪。這是被動(無源)元件,在大陸又稱它無源晶振(含義:被動式石英晶體振盪器)。 石英晶體通常是兩支接腳的電子元件。
石英晶體振盪器(crystal oscillator,簡寫 OSC 或 XO)是指內含石英晶體與振盪電路的模組,需要電源,可直接產生振盪訊號輸出。因內含主動(有源)電子元件,整個模組也屬主動元件,在大陸又稱它有源晶振。 石英振盪器通常是四支接腳的電子元件,其中兩支為電源,一支為振盪訊號輸出,另一支為空腳或控制用。
零件代號與電路符號
依據 IEEE Std 315-1975 與 ANSI Y32.2-1975 規範,石英晶體在電路圖中屬於 Y 類,零件編號應以 Y 開頭,例如 Y1, Y2 等。 但有時也會被標成 X1, X2 或 XTAL; 振盪器在電路圖中屬於 G 類,零件編號應以 G 開頭,但實務上也會被標成 XO 或 OSC 等。 建議仍應依照規範命名為宜。
石英震盪器的種類
石英晶體振盪器模組較常見有以下種類:
XO : 普通石英晶振 (Crystal oscillator)
TCXO : 溫補晶振,溫度補償型 (Temperature compensated crystal oscillator)
OCXO : 恒溫晶振,恒溫型 (Oven-controlled crystal oscillator)
VCXO : 壓控振蕩器,電壓控制型(Voltage-controlled crystal oscillator)
康華爾電子有限公司石英晶振常規頻點,長期大批量備貨,通常有以下常用晶振頻點。
1.8432MHZ, 2.000MHZ,3. 579545MHZ ,4.000MHZ, 6.000MHZ ,8.000MHZ, 12.000MHZ, 16.000MHZ, 20.000MHZ, 22.1184MHZ ,24.000MHZ, 25.000MHZ ,27.000MHZ, 30.000MHZ, 40.000MHZ, 48.00MHZ等石英晶體諧振器系列產品。
作者:康華爾--晶振帝國
壓電石英晶體被人類發現并且成功開發之后,被應用到很多電子元器件之中,壓電石英晶體在經過科技加工之后可以生產出,石英晶振,石英晶片,音叉晶體,聲表面濾波器,聲表面諧振器,傳感器等元器件。壓電效應是由雅克,居里與皮埃爾•居里於1880年發現。 保羅•朗之萬在第一次世界大戰期間首先探討了石英諧振器在聲納上的應用。 第一個由晶體控制的電子式振盪器,則是在1917年使用羅謝爾鹽所作成,並於1918年由貝爾電話實驗室的Alexander M. Nicholson取得專利[1],雖然與同時申請專利的 Walter Guyton Cady 曾有過爭議[2]。 Cady 於1921年製作了第一個石英晶體振盪器[3]。 對於石英晶體振
盪器的其他早期創新有貢獻的還有皮爾斯(G. W. Pierce)與 Louis Essen。
石英晶振的振盪模式
工作原理
晶振是指其中的原子、分子、或離子以規則、重複的模式朝各方向延伸的一種固體。
晶振與幾乎所有的彈性物質都具有自然共振頻率,透過適當的傳感器可加以利用。例如鋼鐵具有良好彈性、音速快,在石英晶振大量應用以前,鋼鐵被用作機械式濾波器(Mechanical filter)。 共振頻率取決於晶振的尺寸、形狀、彈性、與物質內的音速。 高頻用的晶振通常是切成簡單的形狀,如方形片狀。 典型的低頻用晶振則常切成音叉形,例如手錶用的那種。 如不需要太高的精確度,則也可以使用陶瓷晶振(Ceramic Resonator)取代石英晶振。
運用石英晶振上的電極對一顆被適當切割並安置的石英晶體施以電場時,晶體會產生變形。這就是壓電效應。當外加電場移除時,石英晶體會恢復原狀並發出電場,因而在電極上產生電壓。這樣的特性造成石英晶體在電路中的行為,類似於某種電感器、電容器、與電阻器所組合成的RLC電路。組合中的電感電容諧振頻率則反映了石英晶體
的實體共振頻率。
石英晶體的優點是在溫度變化時,影響震盪頻率的彈性係數與尺寸變化輕微,因而在頻率特性上表現穩定。共振的特性還取決於振動模式與石英的切割角度(相對於晶軸而言),目前常用的是 AT 切割,它的振盪是厚度剪切(thickness shear)振盪模式。 此外,在需要高精密度與穩定性的嚴格場合,石英晶體會放置於恆溫箱(Crystal oven)與吸振容器內,以防止外部溫度與震動的干擾。
石英晶體的電路符號與等效電路
分析模型
電氣模型
在電氣網路中,石英晶體可以轉換成一組 RLC 等效電路,以利分析。 這一電路模型有兩個頻率接近但特性不同的共振點:低阻抗的串聯共振點與高阻抗的並聯共振點。 運用拉普拉斯轉換,該等效電路網路的阻抗可以寫成以下數學式:
其中 s 是複數頻率 4 , 是串聯共振頻率, 是並聯共振頻率,以上頻率單位都是弧/每秒。
在晶體兩端並聯上額外的並聯電容器會使並聯後的整體共振頻率降低,因此,石英晶體廠商在製作並測量石英晶體的並聯共振頻率時,會在特定的並聯電容值(稱為負載電容)下進行測試。如使用較小的電容值,振盪頻率會比規格高,反之比規格低。這一特性也可以用來微調振盪頻率。
共振模式
石英晶體提供了兩種共振模式,由 C1 與 L1 構成的串聯共振,與由 C0、C1 與 L1 構成的並聯共振。
對於一般的 MHz 級石英晶體而言,串聯共振頻率一般會比並聯共振頻率低若干 KHz。 頻率在 30 MHz 以下的石英晶體,通常工作時的頻率處於串聯共振頻率與並聯共振頻率之間,此時石英晶體呈現電感性阻抗。因為,外部電路上的電容會把電路的振盪頻率拉低一些。在設計石英晶振振盪電路時,也應令電路上的雜散電容與外加電容合計値與晶體廠商使用的負載電容值相同,振盪頻率才會準確符合廠商的規格。
頻率在 30 MHz 以上(到 200 MHz)的石英晶體,通常工作於串聯共振模式,工作時的阻抗處於最低點,相當於 Rs 。 此種晶體通常標示串聯電阻( < 100 Ω )而非並聯負載電容。 為了達到高的振盪頻率,石英晶體會振盪在它的一個諧波頻率上,此諧波頻率是基頻的整數倍。 只使用奇數次諧波,例如 3 倍、 5 倍、與 7 倍的泛音晶體。 要達到所要的振盪頻率,振盪電路上會加入額外的電容器與
電感器,以選擇出所需的頻率。
音叉晶體,表晶系列
溫度效應
石英晶體的頻率特性取決於形狀或切割方式。音叉型晶體通常會切割成溫度特性是以25℃為中心的拋物線。這意味著,音叉晶體振盪器在室溫下產生的共振頻率接近其目標頻率,當溫度或增加或減少時頻率都會降低。頻率-溫度曲線為拋物線的常見32.768千赫音叉晶體的溫度係數是 負百萬分之0.04/℃²。
也就是說,如不考慮製作誤差,以這種石英晶體控制頻率的時鐘,如運作在比室溫低10°C的環境下,每年會比運作在室溫下慢2分鐘;如運作在比室溫低攝氏20°C的環境下,則每年會比運作在室溫下慢8分鐘。
石英振盪元件的類別、稱呼、代號與速寫
石英晶體或其他壓電晶體諧振器的電路符號
各式石英晶體外觀,最右側一個是石英晶體振盪器模組
內含石英諧振晶體的電子元件可分兩大類:
石英晶體(crystal 或 Xtal)是石英晶片加上電極與外殼封裝。也稱或石英振盪子或石英晶體諧振器 (crystal resonator)。 這是單純石英晶體被動元件,不含主動元件,需搭配外加電路才會產生振盪。這是被動(無源)元件,在大陸又稱它無源晶振(含義:被動式石英晶體振盪器)。 石英晶體通常是兩支接腳的電子元件。
石英晶體振盪器(crystal oscillator,簡寫 OSC 或 XO)是指內含石英晶體與振盪電路的模組,需要電源,可直接產生振盪訊號輸出。因內含主動(有源)電子元件,整個模組也屬主動元件,在大陸又稱它有源晶振。 石英振盪器通常是四支接腳的電子元件,其中兩支為電源,一支為振盪訊號輸出,另一支為空腳或控制用。
零件代號與電路符號
依據 IEEE Std 315-1975 與 ANSI Y32.2-1975 規範,石英晶體在電路圖中屬於 Y 類,零件編號應以 Y 開頭,例如 Y1, Y2 等。 但有時也會被標成 X1, X2 或 XTAL; 振盪器在電路圖中屬於 G 類,零件編號應以 G 開頭,但實務上也會被標成 XO 或 OSC 等。 建議仍應依照規範命名為宜。
石英震盪器的種類
石英晶體振盪器模組較常見有以下種類:
XO : 普通石英晶振 (Crystal oscillator)
TCXO : 溫補晶振,溫度補償型 (Temperature compensated crystal oscillator)
OCXO : 恒溫晶振,恒溫型 (Oven-controlled crystal oscillator)
VCXO : 壓控振蕩器,電壓控制型(Voltage-controlled crystal oscillator)
康華爾電子有限公司石英晶振常規頻點,長期大批量備貨,通常有以下常用晶振頻點。
1.8432MHZ, 2.000MHZ,3. 579545MHZ ,4.000MHZ, 6.000MHZ ,8.000MHZ, 12.000MHZ, 16.000MHZ, 20.000MHZ, 22.1184MHZ ,24.000MHZ, 25.000MHZ ,27.000MHZ, 30.000MHZ, 40.000MHZ, 48.00MHZ等石英晶體諧振器系列產品。
作者:康華爾--晶振帝國
正在載入評論數據...
相關資訊
- [2025-09-18]Geyer晶振賦能極端環境下科技的堅守
- [2025-06-24]Greenray插件YH1300恒溫晶振OCXO的輸出...
- [2024-03-14]RTV119系列性能超強的溫補晶振由安德森...
- [2024-03-14]IQD最新推出IQXC-26系列體積超小耐輻射...
- [2024-03-12]Pletronics晶振最新推出的OSN4系列恒溫...
- [2024-03-08]回顧Bliley晶振八十多年的歷史進程
- [2024-03-08]Bliley如何測量并減少晶振老化帶來的影...
- [2024-03-07]Crystek行業標桿壓控晶振CVCO33BE-2352...
- [2023-09-28]遙遙領先的GEYER晶振跟大家一起探討尺寸...
- [2023-09-26]領先全球的HELE晶振帶你了解從原始石英...
- [2023-09-23]領先全球的Renesas Electronics Corpor...
- [2023-09-21]遙遙領先的Skyworks電子晶振有助于加快...


銷售代表
售后服務