晶振官方博客
更多>>歷史上的貼片石英晶振從什么時候使用的
壓電效應在歷史上最早是居里與皮埃爾·居里于1880年發現,第一次使用是在第一次世界
大戰中,開始是使用在聲納上,后被應用到電話實驗,在到雷達探測等軍事用途。
石英晶體的振蕩模式以及工作原理[編輯]
晶振是指其中的原子、分子、或離子以規則、重復的模式朝各方向延伸的一種固體。
晶體與幾乎所有的彈性物質都具有自然共振頻率,透過適當的傳感器可加以利用。例如鋼
鐵具有良好彈性、音速快,在石英晶體大量應用以前,鋼鐵被用作機械式濾波器。 共振頻
率取決于晶體的尺寸、形狀、彈性、與物質內的音速。 高頻用的晶體通常是切成簡單的形
狀,如方形片狀。 典型的低頻用晶體則常切成音叉形,例如手表用的那種。 如不需要太
高的精確度,則也可以使用陶瓷諧振器取代石英晶體諧振器。
.jpg)
運用石英晶振上的電極對一顆被適當切割并安置的石英晶體施以電場時,晶體會產生變形
。這就是壓電效應。當外加電場移除時,石英晶體會恢復原狀并發出電場,因而在電極上
產生電壓。這樣的特性造成石英晶體在電路中的行為,類似于某種電感器、電容器、與電
阻器所組合成的RLC電路。組合中的電感電容諧振頻率則反映了石英晶體的實體共振頻率。
石英晶體的優點是在溫度變化時,影響震蕩頻率的彈性系數與尺寸變化輕微,因而在頻率
特性上表現穩定。共振的特性還取決于振動模式與石英的切割角度(相對于晶軸而言),目
前常用的是 AT 切割,它的振蕩是厚度剪切(thickness shear)振蕩模式。 此外,在需要
高精密度與穩定性的嚴格場合,石英晶體會放置于恒溫箱(Crystal oven)與吸振容器內,
以防止外部溫度與震動的干擾。
石英晶體的電路符號與等效電路:
電氣模型[編輯]:
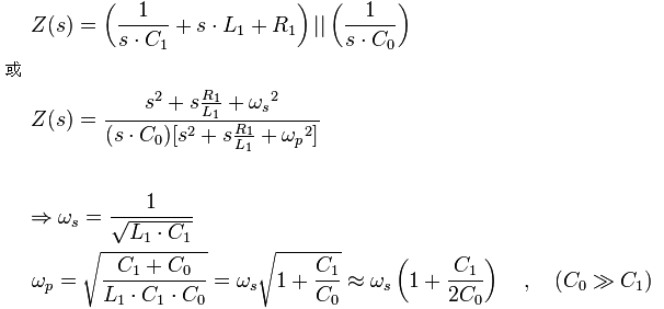
在電氣網絡中,貼片石英晶振與石英晶體可以轉換成一組 RLC 等效電路,以利分析。 這一電路模型有兩
個頻率接近但特性不同的共振點:低阻抗的串聯共振點與高阻抗的并聯共振點。 運用拉普拉斯轉換,該等效電路網絡的阻抗可以寫成以下數學式:
或
相關資訊
- [2023-07-12]如何為6G微處理器選擇晶體FO5SLCBF125....
- [2023-06-28]精工6G晶振物料SMD32.768kHz石英晶體電...
- [2020-07-10]石英晶體等效串聯電阻,振蕩模式原理與公...
- [2020-06-16]從歷史角度闡述振蕩器與連接器的封裝尺...
- [2019-12-14]SITIME品牌車用晶體振蕩器AEC-Q100系列...
- [2019-12-04]KVG新型100MHz高頻OCXO晶振具有極低的噪...
- [2019-08-29]如何全面了解TCXO晶振?看這篇文章就夠...
- [2019-08-24]Oscillator閃爍噪聲發生器
- [2019-08-13]超微型愛普生FA1210AN貼片晶振產品介紹...
- [2019-08-07]TAITIEN泰藝無源MHz石英晶體料號查詢
- [2019-07-22]Wenzel Crystal品牌的創業歷史
- [2019-06-29]看看NDK公司新推出的5G晶振有什么神奇之...


銷售代表
售后服務